implementasi algoritma Algoritma Branch and Bound.
Algoritma Branch and Bound
· Algoritma Branch and Bound (B&B) juga merupakan metode pencarian di dalam ruang solusi secara sistematis.
· Algoritma runut-balik à skema DFS
Algoritma B&B à skema BFS
· Untuk mempercepat pencarian ke simpul solusi, maka setiap simpul diberi sebuah nilai ongkos (cost).
· Simpul berikutnya yang akan diekspansi tidak lagi berdasarkan urutan pembangkitannya (sebagaimana pada BFS murni), tetapi simpul yang memiliki ongkos yang paling kecil (least cost search).
· Nilai ongkos pada setiap simpul i menyatakan taksiran ongkos termurah lintasan dari simpul i ke simpul solusi (goal node):
· Dengan kata lain, menyatakan batas bawah (lower bound) dari ongkos pencarian solusi dari status i.
Prinsip Pencarian Solusi pada Algoritma B&B
· Skema BFS = skema FIFO (First In First Out).
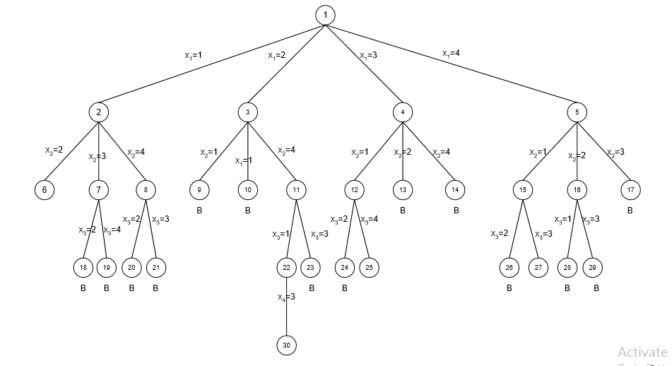
· Tinjau kembali persoalan 4-ratu yang diselesaikan dengan skema BFS (murni).
Gambar 7.1 Pohon ruang status yang terbentuk untuk persoalan 4-Ratu dengan metode BFS
· Solusi pertama dicapai pada simpul 30, yaitu X = (2, 4, 1, 3). Dengan skema BFS murni / FIFO, kita harus memperluas dulu simpul 12, simpul 15, dan simpul 16 sebelum memperluas simpul 22 yang melahirkan simpul solusi, yaitu simpul 30.
· Pada algoritma B&B, pencarian ke simpul solusi dapat dipercepat dengan memilih simpul hidup berdasarkan nilai ongkos (cost).
· Setiap simpul hidup diasosiasikan dengan sebuah ongkos yang menyatakan nilai batas (bound).
· Simpul hidup yang menjadi simpul-E ialah simpul yang mempunyai nilai batas terkecil (strategi pencarian berdasarkan biaya terkecil (least cost search).
· Untuk setiap simpul X, nilai batas ini dapat berupa [HOR78]:
(a) jumlah simpul dalam upapohon X yang perlu dibangkitkan sebelum simpul solusi ditemukan, atau
(b) panjang lintasan dari simpul X ke simpul solusi terdekat (dalam upapohon X ybs)
Misal digunakan ukuran (b):
· Pemberian nilai batas seperti pada persoalan N-Ratu di atas adalah nilai batas yang ideal, karena letak simpul solusi diketahui.
· Pada umumnya, untuk kebanyakan persoalan, letak simpul solusi tidak diketahui, karena itu, dalam prakteknya, nilai batas untuk setiap simpul umumnya berupa taksiran atau perkiraan.
· Fungsi heuristik untuk menghitung taksiran cost:
= ongkos mencapai simpul i dari akar
= ongkos mencapai simpul tujuan dari simpul i.
· Simpul berikutnya yang dipilih untuk diekspansi adalah simpul yang memiliki minimum.
Algoritma B&B:
1. Masukkan simpul akar ke dalam antrian Q. Jika simpul akar adalah simpul solusi (goal node), maka solusi telah ditemukan. Stop.
2. Jika Q kosong, tidak ada solusi. Stop.
3. Jika Q tidak kosong, pilih dari antrian Q simpul i yang mempunyaipaling kecil. Jika terdapat beberapa simpul i yang memenuhi, pilih satu secara sembarang.
4. Jika simpul i adalah simpul solusi, berarti solusi sudah ditemukan, stop. Jika simpul i bukan simpul solusi, maka bangkitkan semua anak-anaknya. Jika i tidak mempunyai anak, kembali ke langkah 2.
5. Untuk setiap anak j dari simpul i, hitung, dan masukkan semua anak-anak tersebut ke dalam Q.
6. Kembali ke langkah 2.
Nama:Wahyu iskandar
Npm:19316013
Kelas:TK19C
Universitas: https://teknokrat.ac.id/
Fakultas: http://ftik.teknokrat.ac.id/


Komentar
Posting Komentar